logo
  • 产品
  • 供应商
  • 全球招采
  • 全球简讯

无数据

发布采购请求 | 采购商登录 | 供应商登录 | 帮助中心
  • English |
  • Français |
  • Русский |
  • Español |
  • العربية |
  • Português |
  • Deutsch |
  • 中文站
工程分类
首页产品供应商全球简讯全球招采全球首发全球招商中海协电商委国别推介科技创新全球通讯录
首页 科技创新
X射线技术首度实时解析铁硫纳米层形成路径
汉堡大学、图卢兹大学联合德国电子同步加速器中心(DESY)及欧洲同步辐射装置(ESRF)团队,首次利用时间分辨X射线方法,实时捕捉到溶液中铁硫纳米结构
[2026-02-13]
德国法国
先进材料
国际团队发现“由内而外”行星系统为行星形成理论提供新视角
由华威大学托马斯·威尔逊博士领导的一个国际天文学家团队,利用欧洲航天局系外行星特征探测卫星(CHEOPS),在红矮星 LHS 1903 周围发现一个包含四颗行...
[2026-02-13]
英国
未来空间
Hereon团队开发可完全回收的木质素基3D打印墨水
位于泰尔托的Hereon可持续功能材料研究所研究团队近期开发出一种以木质素为主要成分、可完全回收的水性3D打印墨水。该成果发表于《ACS可持续化学与...
[2026-02-13]
德国
未来材料
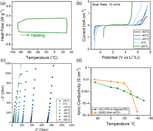
美国德克萨斯农工大学开发耐寒聚合物电池 极端低温下保持稳定充放电
德克萨斯农工大学研究人员近日宣布,开发出一款可在零下40摄氏度环境下持续工作的新型电池。该研究由工程学院化学工程教授兼科研副院长乔迪·卢
[2026-02-12]
美国
未来材料
哈勃望远镜发布蛋状星云最新影像
美国宇航局近日发布哈勃太空望远镜拍摄的蛋状星云新图像。该蛋状星云位于天鹅座,距离地球约1000光年,其中心恒星被致密尘埃层包裹,形成类似“
[2026-02-12]
美国
未来空间
传统产业
传统能源 农业 工程建筑 高端设备制造 绿色制造
更多
激光4D打印“活材料”:吉林大学突破磁致伸缩合金跨尺度形变极限
当一束激光扫过Fe-Co-V合金构件,它不再是冰冷静止的零件,而会像被唤醒的肌肉般精确弯曲、主动变形——这不是科幻,而是刚刚发表于《自然·通讯
中国
高端设备制造
[2026-02-13]
算法“种田”:AgriSmart框架让大豆节水21.4%、玉米增产20%并减氮32%
当土壤湿度传感器触发灌溉时,作物往往已经处于缺水胁迫状态;当农民按固定日历追肥时,氮素可能早已随雨水淋溶至根系之外。传统智慧农业的“阈
韩国
美国
农业
[2026-02-13]
全球首证实:农业研发投资是长期碳减排的“隐形杠杆”
一项覆盖多国、历时多年的跨国计量研究首次以宏观数据证明:增加农业研发(R&D)投入,能够显著驱动长期二氧化碳减排。这一发现将农业从传统认
土耳其
农业
[2026-02-12]
“光流”雕刻万物:多材料3D微纳制造突破,为微型机器人打开“万能工具箱”
传统3D微纳制造长期困于“一种材料”的牢笼——无论结构设计多么精妙,最终只能由聚合物构成,如同手握顶级建模软件却只有一捧黏土。如今,这道...
新加坡
德国
高端设备制造
[2026-02-12]
“墨层匹配激光”新策略:破题曲面电路制造,导电性提升达160%
如何在高斯能量分布的激光下,精准烧结出均匀的曲面电路?北京航空航天大学陶智院士团队用一项“以柔克刚”的巧妙策略,为航空航天高温部件的“
中国
高端设备制造
[2026-02-11]
一喷双效:叶面补硒技术为高原谷物安全与营养双升级
在应对土壤污染和隐性饥饿的双重挑战中,一项针对高原特色作物青稞的创新研究取得了关键进展。通过简单的叶面喷施技术,科学家们找到了一种能
中国
农业
[2026-02-11]
英国学者利用稻草捆建造低碳花园办公室
近日,谢菲尔德大学格兰瑟姆可持续未来中心的一位可持续性评估负责人,完成了其个人花园办公室的建造。该建筑使用稻草捆作为主要建材,旨在降
英国
工程建筑
[2026-02-11]
沙迦大学创新:沙漠沙变身可持续建筑砖 引领工程建筑新方向
沙迦大学科学家报告称,已成功将沙漠沙转化为比传统水泥或粘土砖更具可持续性的建筑砖,这一创新成果预示着波特兰水泥替代品的新前景,而波特
阿联酋
工程建筑
[2026-02-11]
战略性新兴产业
新一代信息技术 生物技术 新能源 先进材料 航空航天高端装备
更多
“好奇号”火星车检测到大型分子有机化合物
美国宇航局“好奇号”火星车在火星盖尔陨石坑的古老泥岩样本中,检测到癸烷、十一烷和十二烷等大型分子有机化合物。一项发表于《天体生物学》
美国
航空航天高端装备
[2026-02-13]
X射线技术首度实时解析铁硫纳米层形成路径
汉堡大学、图卢兹大学联合德国电子同步加速器中心(DESY)及欧洲同步辐射装置(ESRF)团队,首次利用时间分辨X射线方法,实时捕捉到溶液中铁硫纳米结构
德国法国
先进材料
[2026-02-13]
碳纳米管“纳米砂纸”实现半导体原子级表面处理
智能手机与人工智能服务的性能提升,高度依赖半导体表面处理的均匀性与精确度。韩国科学技术院(KAIST)研究人员创新地将“砂纸”概念引入纳米技术
韩国
先进材料
[2026-02-13]
密歇根大学研究揭示铅暴露与痴呆症风险关联
随着美国痴呆症病例持续增长,密歇根大学公共卫生学院最新研究显示,累积铅暴露与老年人阿尔茨海默病及痴呆症风险显著相关。研究高级作者凯利·...
美国
生物技术
[2026-02-13]
香港科技大学团队开发糖链靶向系统抑制转移性乳腺癌
中国香港科技大学(HKUST)化学系助理教授Kenward Vong领导的研究团队,近期在生物工程领域取得一项研究进展。团队开发出一种名为“凝集素定向蛋白聚集
中国
生物技术
[2026-02-13]
可穿戴双模传感器实现氨气可视化与电信号同步检测
氨气是全球产量第二大的化工产品,广泛应用于化肥、制冷剂、生物标记及下一代燃料等领域。然而,氨气具有较高毒性,可能导致呼吸道刺激、肺水
韩国
新能源
[2026-02-13]
纳米电解质环境研究揭示储能与生物系统的微观新机制
德国马克斯·普朗克动态与自组织研究所一项新研究揭示了驱动电解质在纳米尺度下的微观行为。该研究于近期发表在《物理评论快报》上,研究团队发...
德国
新能源
[2026-02-13]
向太阳引力透镜(SGL)发射探测器是直接成像潜在宜居行星及其大气层的理想途径
向太阳引力透镜(SGL)发射探测器,是直接成像潜在宜居行星及其大气层的理想途径,但这一目标面临巨大挑战。SGL距离地球约650至900天文单位,远超当前...
美国
航空航天高端装备
[2026-02-12]
未来产业
未来信息 未来材料 未来能源 未来空间 未来健康
更多
低脂纯素饮食或可助1型糖尿病者减少胰岛素用量
美国责任医师协会近日发表在《BMC Nutrition》杂志上的一项研究显示,低脂纯素饮食且不限制卡路里或碳水化合物摄入,可能有助于1型糖尿病患者减少胰岛素用量,从而降低治疗费用。
美国
未来健康
[2026-02-13]
新加坡国立大学研究发现或可延缓大脑衰老的蛋白质
新加坡国立大学杨潞琳医学院的科学家近日发现了一种可能有助于恢复衰老大脑中神经干细胞再生能力的蛋白质。
新加坡
未来健康
[2026-02-13]
云南天文台研究揭示伽马射线暴GRB 240825A余辉时间演化特征
中国科学院云南天文台研究人员对伽马射线暴GRB 240825A的余辉时间演化开展了一项新研究,相关成果发表于《天体物理学杂志》。该研究通过多波段观测...
中国
未来空间
[2026-02-13]
国际团队发现“由内而外”行星系统为行星形成理论提供新视角
由华威大学托马斯·威尔逊博士领导的一个国际天文学家团队,利用欧洲航天局系外行星特征探测卫星(CHEOPS),在红矮星 LHS 1903 周围发现一个包含四颗行...
英国
未来空间
[2026-02-13]
日本东京理科大学提出钠/钾电池界面设计新框架
日本东京理科大学研究团队近日在《先进能源材料》期刊发表综述论文,系统比较钠离子电池、钾离子电池与锂离子电池的界面行为,重新定义电极-电
日本
未来材料
[2026-02-13]
Hereon团队开发可完全回收的木质素基3D打印墨水
位于泰尔托的Hereon可持续功能材料研究所研究团队近期开发出一种以木质素为主要成分、可完全回收的水性3D打印墨水。该成果发表于《ACS可持续化学与...
德国
未来材料
[2026-02-13]
研究显示超加工食品摄入量与心血管疾病风险存在关联
美国佛罗里达大西洋大学查尔斯·E·施密特医学院的一项最新研究显示,大量摄入超加工食品与心血管疾病风险升高存在统计学关联。
美国
未来健康
[2026-02-12]
国际空间站生物采矿实验揭示真菌可在微重力下提取贵金属
康奈尔大学与爱丁堡大学研究团队在国际空间站完成了一项生物采矿实验,研究微生物如何在微重力环境下从陨石中提取铂族元素。实验发现,真菌在
美国
未来空间
[2026-02-12]
热搜词:
  • 责任医师协会
  • 新加坡国立大学杨潞琳医学院
  • Hanbat National University Industry
  • Max Planck Society
  • 吉林大学机械与航空航天工程学院
  • 农业与机械工程学院;韩国朝鲜大学工业工程系
  • 土木
  • 美国佐治亚大学环境
  • 比莱吉克谢赫埃德巴里大学
  • 德国马克斯·普朗克智能系统研究所
  • Mrigakshi Dixit
  • 密歇根大学医学院
  • 康涅狄格学院
  • 兰州大学资源与环境学院
  • 加州纳米系统研究所
  • Northumbria University
  • Uppsala University
  • 中国玻璃纤维工业协会
  • 塔塔基础研究所
  • The Korea Advanced Institute of Science and Technology
  • Technische Universitat Darmstadt
  • 国家犹太健康
  • 巴斯德研究所
  • 科爱通讯有限公司
  • 圣保罗国家基金会
  • Washington University in St. Louis
  • Chalmers University of Technology
  • 克利夫兰大学医院医疗中心
  • NASA兰利研究中心
  • 马克斯普朗克物理学研究所
  • 网站导航

    • 产品
    • 供应商
    • 全球简讯
    • 全球首发
    • 全球招商
    • 网站导航
    • 热门专题页
    • 国别推介
    • 全球招采
    • 科技创新
    • 全球通讯录

    网站介绍

    加入维度网

    供应商登录 采购商登录

    联系维度网

    商务电话: +86-10-63990880
    (手机/微信:+86-13552376944)
    客服电话: +86-10-63388288
    邮箱: office@wedoany.com
    地址: 北京市海淀区西三环北路89号中国外文大厦
    友情链接: 国家发展和改革委员会 | 工业和信息化部 | 生态环境部 | 交通运输部 | 农业农村部 | 住房和城乡建设部 | 水利部 | 国家卫生健康委员会 | 中国产业海外发展协会 | 上海合作组织 | 中国--东盟中心 | 国际货币基金组织 | 丝路基金 | 阿联酋驻北京大使馆 | 新加坡驻华大使馆 | 阿尔及利亚驻北京大使馆 | 俄罗斯联邦驻华大使馆 | 意大利驻华大使馆 | 亚马逊卖家导航 | 出海网 | 智能电网 | 模型网 | 全球资源网 | Open AI时代 | 我的建筑网
    维度网 北京国能联合传媒集团有限公司 wedoany.com 版权所有 ©2024 丨
    京公网安备 11010802043282号 京ICP备16023390号-18
    广播电视节目制作经营许可证 京广行许字(2024)00312024052400034号 丨 医疗器械经营许可证 京顺药监械经营许20250083号
    药品医疗器械网络信息服务备案 丨 (京)网药械信息备字(2025)第 00328 号 丨 增值电信业务经营许可证:京B2-20220177