热电转换技术为可持续的废热回收利用提供了可行路径,尤其适用于传统化石燃料发动机等场景中的能源效率提升。据估算,工业领域约20-50%的输入能量以废热形式流失,而热电设备可将此类热能转化为电力,同时具备为偏远地区小型传感器等设备提供便携电源的潜力。
目前多数热电装置基于纵向热电效应设计,其发电方向与热流方向一致。这类设备通常由p型和n型半导体交替堆叠串联构成,但在多层结构中,界面间的接触电阻会增加能量损失,限制整体转换效率。
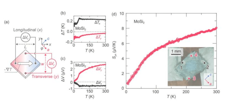
横向热电设备作为一种替代方案,其电压生成方向与热流垂直。该类器件可由单一材料构成,避免了多界面带来的接触电阻问题,在提升效率的同时也简化了制造流程。然而,具备显著横向热电效应的材料迄今较为少见。
在发表于《通讯-材料》期刊的一项研究中,由日本东京科学大学物理学与天文学系副教授冈崎隆司领导的研究团队,在混合维度半金属材料二硅化钼中观测到横向热电行为。这一发现为开发新型热电材料提供了实验依据,有望促进废热发电技术的进一步发展。
出版详情:作者:Hikari Manako等人,标题:《轴依赖的传导极性和混合维度半金属 MoSi2 的横向热电转换》,发表于:《通信材料》(2025),期刊信息: 通信材料














