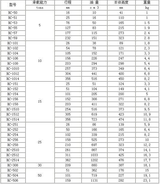
RC-50单作用液压千斤顶
沟通报价
中国
中国 广东 东莞市 东莞市塘厦湖景路138工业区创业园B幢
0769-82011369
在线沟通
收藏
产品介绍
·外环螺纹、柱塞螺纹和各基座安装孔使得定位便易(对多数型号而言) ·设计为可以在任何位置上使用 ·可拆装的带状手柄使固定无障碍(P分型号) ·高强度合金钢经久耐用 ·多数型号可提供镀镍本体(详情请与Enerpac ......·外环螺纹、柱塞螺纹和各基座安装孔使得定位便易(对多数型号而言) ·设计为可以在任何位置上使用 ·可拆装的带状手柄使固定无障碍(P分型号) ·高强度合金钢经久耐用 ·多数型号可提供镀镍本体(详情请与Enerpac 联络) ·复位弹簧 ·烤漆表面使耐腐蚀能力更强 ·各型号均包括CR-400快速接头与防尘帽 ·防尘圈可减少污染,延长液压缸使用寿命